Политический банкрот Яценюк потратит из бюджета Украины на пиар своих американских гастролей 35 тысяч долларов
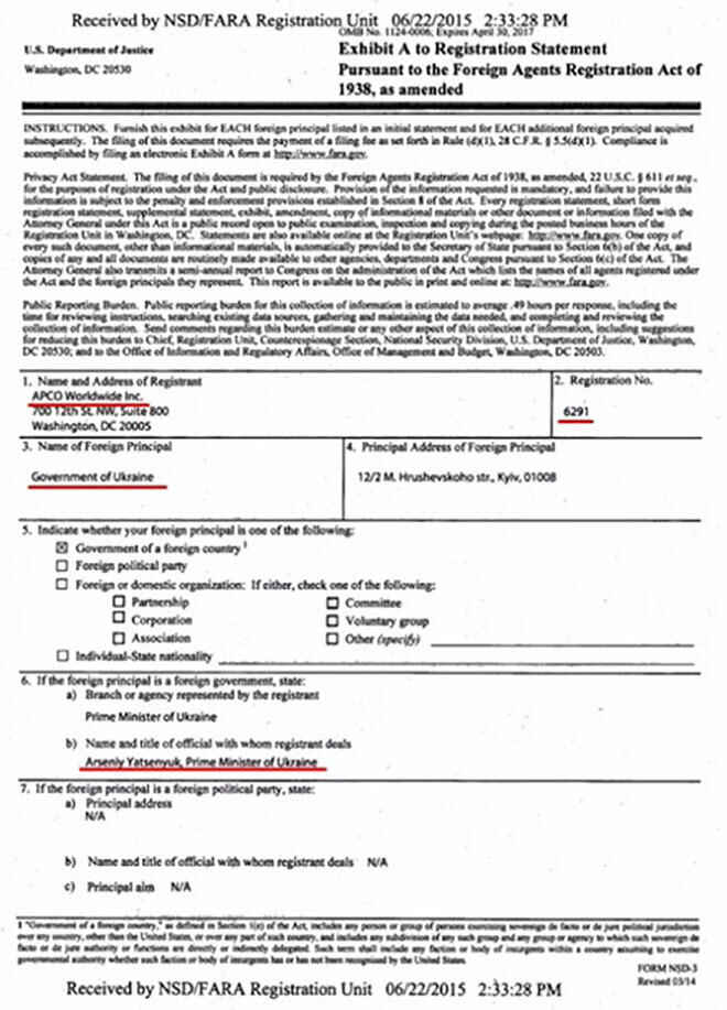
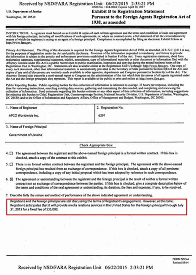
Кабинет министров Украины нанял международную консалтинговую компанию APCO Worldwide Inc., которая, согласно договору, обязуется предоставить премьер-министру Украины Арсению Яценюку услуги по связям со средствами массовой информации во время его визита в США. Работа американских пиарщиков обойдется бюджету Украины в 35 тысяч долларов.
Подпишитесь на новости «ПолитНавигатор – Киев» в Facebook, Одноклассниках или Вконтакте
Подпишитесь на новости «ПолитНавигатор» в Яндекс.Дзен, Telegram, Одноклассниках, Вконтакте, каналы YouTube и Max.
За такую сумму специалисты международной консалтинговой компании должны будут осветить визит премьера перед американцами в лучшем виде.
Информацию об этом опубликовали сегодня украинские СМИ со ссылкой на систему раскрытия информации об иностранных агентах Министерства юстиции США (Foreign Agents Registration Act., FARA).
— Владелец регистрации (компания APCO Worldwide Inc.) и иностранное государство (правительство Украины) все еще обсуждают условия участия владельца регистрации, — говорится в заявке. — Тем не менее за это время ожидается, что владелец регистрации предоставит услуги по связям со СМИ в США для иностранного государства до 31 июля 2015 года за фиксированную плату в 35 тысяч долларов.

Согласно документу, международная консалтинговая компания обязуется предоставлять связи с медиакомпаниями и другими организациями в США от имени правительства Украины во время визита Арсения Яценюка в Америку «для развития позитивных отношений между странами».

APCO Worldwide Inc. является всемирно известной компанией по предоставлению консалтинговых коммуникаций, как правило, в политических вопросах. Клиентура APCO состоит из многонациональных корпораций, правительств, ассоциаций и некоммерческих организаций.
English version :: Читать на английском Политический банкрот Яценюк потратит из бюджета Украины на пиар своих американских гастролей 35 тысяч долларов

Сообщить об опечатке
Текст, который будет отправлен нашим редакторам: